◎欢迎参与讨论,请在这里发表您的看法、交流您的观点。
创业资讯门户网站
椭圆周长计算公式L=Tr+RT为椭圆系数,可以由rR的值,查表找出系数T值r为椭圆短半径R为椭圆长半径椭圆周长定理椭圆的周长等于该椭圆短半径与长半径之和与该椭圆系数的积包括正圆建立椭圆参数方程x。
椭圆周长公式是L=2πb+4ab椭圆周长定理是椭圆的周长等于该椭圆短半轴长为半径的圆周长2b加上四倍的该椭圆长半轴长a与短半轴长b的差椭圆周长面积计算公式1根据椭圆第一定义,用a表示椭圆长半轴。
椭圆周长计算公式L=Tr+RT为椭圆系数,可以由rR的值,查表找出系数T值r为椭圆短半径R为椭圆长半径椭圆周长定理椭圆的周长等于该椭圆短半径与长半径之和与该椭圆系数的积包括正圆关于椭圆的周长等于。

椭圆周长计算公式L=Tr+RT为椭圆系数,可以由rR的值,查表找出系数T值r为椭圆短半径R为椭圆长半径椭圆周长定理椭圆的周长等于该椭圆短半径与长半径之和与该椭圆系数的积包括正圆相关性质 椭圆是。

椭圆周长公式为L=2πb+4ab椭圆周长公式根据椭圆第一定义,用a表示椭圆长半轴的长,b表示椭圆短半轴的长,且ab0椭圆周长公式L=2πb+4ab椭圆周长定理椭圆的周长等于该椭圆短半轴长为半径的。
椭圆的周长L等于该椭圆短半轴长为半径的圆周长2πb加上四倍的该椭圆长半轴度长a与短半轴长b的差,即L=2πb+4ab椭圆是指数学上平面内到定点F1F2的距离之和等于常数大于F1F2的动点P。
椭圆周长计算公式L=Tr+RT为椭圆系数,可以由rR的值,查表找出系数T值r为椭圆短半径R为椭圆长半径椭圆周长定理椭圆的周长等于该椭圆短半径与长半径之和与该椭圆系数的积包括正圆关于椭圆的周长。
您好,我就为大家解答关于椭圆形周长计算,椭圆形周长计算公式相信很多小伙伴还不知道,现在让我们一起来看看吧1椭圆的周长属于椭圆积分,积不出精确值的此椭圆周长计算公式是利用四段圆弧近似椭圆推导出来的,精度较好,最大。
椭圆周长计算公式 L=2πb+4ab长期以来我们只用椭圆离心率e=ca来描述椭圆,却忽视了椭圆a与b的关系定义椭圆向心率为f,f=ba 根据椭圆第一定义,椭圆向心率f,有0ltflt1的范围 K1+fltK2的数学。
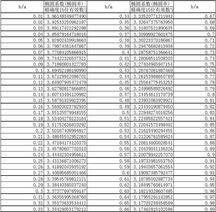
椭圆周长计算公式L = T r + R 公式描述公式中T为椭圆系数,可以由rR的值,查表找出系数T值r为椭圆短半径,R为椭圆长半径。
一椭圆周长计算公式 椭圆周长公式L=2πb+4ab椭圆周长定理椭圆的周长等于该椭圆短半轴长为半径的圆周长2πb加上四倍的该椭圆长半轴长a与短半轴长b的差 解注明在AB中点处,建立。
一个高精度的椭圆周长初等公式,精确度可由使用者自由控制,点击图1查看椭圆周长弧长涉及第二类椭圆积分,原函数无法以初等函数的形式表达在Matlab,maple等数学软件中可以直接调用第二类椭圆积分函数求得建议阅读。
椭圆周长面积计算公式 根据椭圆第一定义,用a表示椭圆长半轴的长,b表示椭圆短半轴的长,且ab0椭圆周长公式L=2πb+4ab椭圆周长定理椭圆的周长等于该椭圆短半轴长为半径的圆周长2πb加上四倍的。
的精确计算要用到积分或无穷级数的求和 L = 4a sqrt1e^sin^t的0 π2积分,其中a为椭圆长轴,e为离心率 近似计算,可用以下公式L = π15a+bsqrtab,其中a,b分别为椭圆长轴和短轴。
那么要利用数学中的积分,可以求出面积是S=πab,其中a是长半径,b是短半径但是周长不是这么简单,叫数学中的不可积函数,很有名的,第一类椭圆积分如果你用投影,那就简单了不过,问题是 1如何证椭圆的投影。
椭圆常数 常数在于探索和发现椭圆三要素焦距的一半c,长半轴的长a和短半轴的长b椭圆三要素确定任意两项就确定椭圆椭圆三要素其中两项的某种数学关系决定椭圆周长和面积 椭圆的周长取值范围4altLlt。
但是,印度数学一代怪杰,拉马努金提供了两个计算椭圆周长的高精度近似计算公式,而他发现用227=3来代替真实的pai值,近似的效果更好,真是一代奇才,让我们欣赏下他提供的椭圆周长计算的近似公式精确计算公式。
◎欢迎参与讨论,请在这里发表您的看法、交流您的观点。