◎欢迎参与讨论,请在这里发表您的看法、交流您的观点。
创业资讯门户网站
交流电在半周期内,通过电路中导体横截面的电量Q和其一直流电在同样时间内通过该电路中导体横截面的电量相等时,这个直流电的数值就称为该交流电在半周期内的平均值 对正弦交流电流,即i=Imsinωt,则平均值与峰值的关系为 故,正弦交。
交流电符号是~交流电文字单位为“AC” 交流电符号为“~” 例如220的交流电表示方法为,~220V交流电的大小和方向会发生周期性变化,发动机的励磁磁通方向是固定的,发电机的转子绕组在切割磁力线时产生了感应电流,此。
交流电压符号V~ 直流电压符号V 交流电电流电压的大小方向者随按一定规律频率交递变换,比如50Hz就是它的频率,一分大小方向变换50次电压有时为220伏,有是为0伏,有时为220伏平时所说的220V是指的。
交流电用符号AC表示,直流电用符号DC表示交流电alternating current,简称为AC交流电也称“交变电流”,简称“交流”电流方向随时间作周期性变化的为交流电它的最基本的形式是正弦电流当法拉第发现了电磁感应后。

这就是交流电,用AC表示电流只能从电池的正极经过负载再到达负极,电流不能从负极到正极,也就是说电流的方向是固定不变的,只能一直向前走,不能返向走,这就叫做直流电,它的字母符号用DC表示。
直流电文字代号DC,图形符号交流电文字代号AC,图形符号~ 直流电主要应用于各种电子仪器,电解,电镀,直流电力拖动等方面交流电可以有效传输电力,主要运用到三相电机和单相电机通常交流电波形为正弦曲线任何非简谐。

直流电DC也用字母“V”下面加一个“”表示交流电AC也用字母“V”下面加一个“~”表示直流电的电流方向或电流大小都是不变的,而交流电的电流会随时间发生不同的变化两者在社会中的应用都是很普遍的,直流电。
AC是交流,DC是直流,交流电压就是例如AC220V,直流电压是如DC24V如果要比喻,那么交流电像起伏的山,而直流电是平原电流的大小和方向随时间变化的叫交流电我们日常生活中的用电就是交流电交流电是交流发电机由原动机。
交流电符号在WORD里输入方法1单击开始中文版式合并字符2弹出合并字符对话框,在文字处输入V半角空格,~半角空格即可。
交流电符号在WORDk是比较难输入的,可以用下面的方法试着解决单击”开始“”中文版式“”合并字符“,弹出合并字符对话框后,在文字空格处输入”V“半角空格,”~“半角空格即可你也可以从“插入”中找到“符号。
双向二极管如图,当双向稳压二极管的A端接电压正,K端接电压负,左边的稳压二极管是正向导通,相当于一个普通二极管,在上面的压降是07V,而右边的才。
交流电就是我们国家现在使用的,频率为50hz,每秒交替变化50次 符号hz赫兹。
正弦量的瞬时值与复数有非常的近似之处,于是就有一个比较简便的计算正弦交流电的方法就是用复数来计算,这叫做正弦量计算的向量法书上还有一个称呼是“符号法”计算方法就是用的复数运算例如A=a+jb是这个正弦量。
电子技术专业里一般把幅度和方向变化的电称为交流电,我们常提到的信号比如声音信号图像信号温度信号等等就是交流电而把幅度和方向不变化的电称为直流电至于万用表的符号跟使用,太多了这里不方便解答有说明书的。
你从“插入”中找到“符号” 在它给的符号大范围栏中应该在最后可以看到“波浪符号”, 然后你设定一下他的快捷键 然后回到主页面,从上面第二行的一些图标里,找到一个根号下“ 阿勒法”的点开,在它的提供栏里,第。
如果要画波浪线倒也简单,不过我喜欢用老面孔界面点击“工具界面操作“”恢复老面孔“ 然后点击”高级曲线“选择”波浪线“,在左下角编辑波峰高度尺寸,左键点击起始点,拖动,输入长度数据,回车,右键。
在页面,点击元件,右键点击属性,部件,在部件中选择符号,按确定添加交流电是指方向和强度作周期性变化的电流这种电流的优点是可以用变压器来改变电压现在工业上和日常生活用的交流电,其变化频率为每秒五十次EPLAN作为。
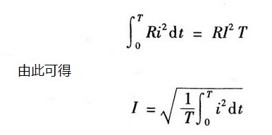
正弦交流电就是它的变量如电动势et电压ut电流it都可以写成时间t的正弦函数电流i = Im * sinωt + φi 就是电流的在某一时刻的值即瞬时值Im 就是电流的瞬时最大值即峰值I 电流的有效值,它。
◎欢迎参与讨论,请在这里发表您的看法、交流您的观点。