◎欢迎参与讨论,请在这里发表您的看法、交流您的观点。
创业资讯门户网站
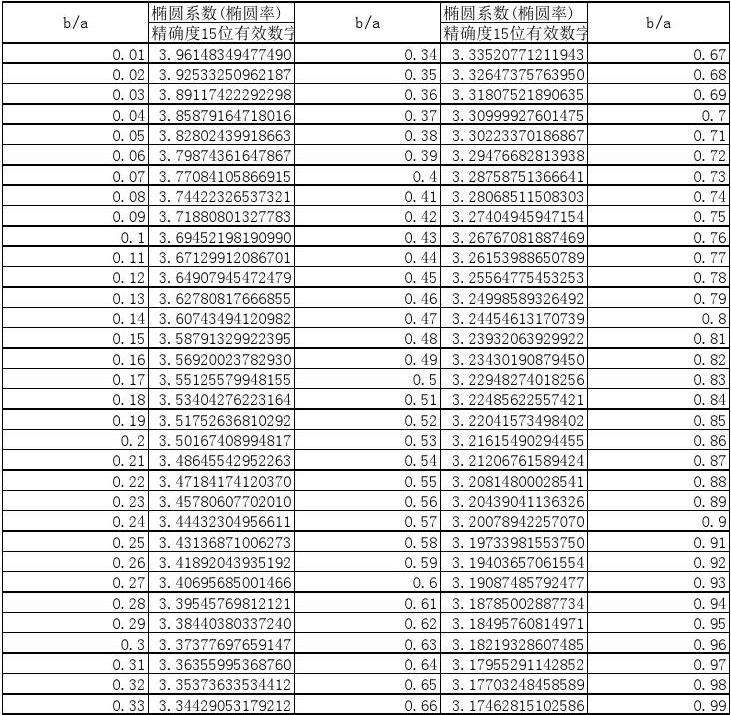
椭圆周长计算公式L=Tr+RT为椭圆系数,可以由rR的值,查表找出系数T值r为椭圆短半径R为椭圆长半径椭圆周长定理椭圆的周长等于该椭圆短半径与长半径之和与该椭圆系数的积包括正圆关于椭圆的周长等于。

椭圆周长公式是L=2πb+4ab椭圆周长定理是椭圆的周长等于该椭圆短半轴长为半径的圆周长2b加上四倍的该椭圆长半轴长a与短半轴长b的差椭圆周长面积计算公式1根据椭圆第一定义,用a表示椭圆长半轴。
椭圆周长计算公式L=Tr+RT为椭圆系数,可以由rR的值,查表找出系数T值r为椭圆短半径R为椭圆长半径椭圆周长定理椭圆的周长等于该椭圆短半径与长半径之和与该椭圆系数的积包括正圆建立椭圆参数方程x。
椭圆周长计算公式L=Tr+RT为椭圆系数,可以由rR的值,查表找出系数T值r为椭圆短半径R为椭圆长半径椭圆周长定理椭圆的周长等于该椭圆短半径与长半径之和与该椭圆系数的积包括正圆相关性质 椭圆是。
椭圆周长L的精确计算要用到积分或无穷级数的求和如 L = 4a sqrt1e^sin^t的0 pi2积分,其中a为椭圆长轴,e为离心率 近似计算,可用以下公式L = pi15a+bsqrtab,其中a,b分别为椭圆长轴。
椭圆周长计算公式L = T r + R 公式描述公式中T为椭圆系数,可以由rR的值,查表找出系数T值r为椭圆短半径,R为椭圆长半径。

椭圆周长计算公式L=Tr+RT为椭圆系数,可以由rR的值,查表找出系数T值r为椭圆短半径R为椭圆长半径椭圆周长定理椭圆的周长等于该椭圆短半径与长半径之和与该椭圆系数的积包括正圆关于椭圆的周长。
椭圆周长L的精确计算要用到积分或无穷级数的求和如 L = 4a * sqrt1e^sin^t的0 pi2积分, 其中a为椭圆长轴,e为离心率 近似计算,可用以下公式L = pi15a+bsqrtab, 其中a,b分别为。
椭圆周长面积计算公式 根据椭圆第一定义,用a表示椭圆长半轴的长,b表示椭圆短半轴的长,且ab0椭圆周长公式L=2πb+4ab椭圆周长定理椭圆的周长等于该椭圆短半轴长为半径的圆周长2πb加上四倍的。
作一个与你拟定的椭圆相似的椭圆,线性比例系数为k,按照你的周长公式,那么新的椭圆的周长应该是原来的k倍,但按你的分析过程去算,结果不是这样的另外椭圆周长没有准确的计算公式,椭圆的周长不可以写成关于长短轴长的。
椭圆常数 常数在于探索和发现椭圆三要素焦距的一半c,长半轴的长a和短半轴的长b椭圆三要素确定任意两项就确定椭圆椭圆三要素其中两项的某种数学关系决定椭圆周长和面积 椭圆的周长取值范围4altLlt。
圆的周长是有一个计算公式的,这个公式大家都知道,于是有人就问椭圆周长有一个计算公式吗如果你上网去查一下,会发现这方面的讨论很多,总而言之,要想给出一个初等数学的椭圆周长计算公式是不可能的,因为这是与一。
椭圆的周长有一个公式,但并不准确在我国的基础教育中,虽然有关于椭圆的相关教学内容,比如圆锥曲线,这是很多高中生梦寐以求的,但椭圆的周长公式并没有出现在现行的基础教育教科书中一个重要的原因是椭圆没有像圆周。
但是,印度数学一代怪杰,拉马努金提供了两个计算椭圆周长的高精度近似计算公式,而他发现用227=3来代替真实的pai值,近似的效果更好,真是一代奇才,让我们欣赏下他提供的椭圆周长计算的近似公式精确计算公式。
椭圆周长公式为L=2πb+4ab椭圆周长公式根据椭圆第一定义,用a表示椭圆长半轴的长,b表示椭圆短半轴的长,且ab0椭圆周长公式L=2πb+4ab椭圆周长定理椭圆的周长等于该椭圆短半轴长为半径的。
◎欢迎参与讨论,请在这里发表您的看法、交流您的观点。